경우의 수는 솔직히 쉬워서 뭘 해야할지 모르겠음..
ex) 3개의 영어와, 3개의 숫자로 만들 수 있는 문자열의 경우의 수는?
영어 알파벳 26개, 숫자 0~9 : 10개
26*26*26*10*10*10 = 17,576,000
● 그냥 조건없는 함수 : set n개 -> m개 로 던질 때
n^m :
첫번째 애가 던질 수 있는 경우의 수 =m개
두 번째 애가 "... :m개
...n번째 애가 :m개
● 일대일 함수 : nPm
첫번째 애가 던질 수 있는 경우의 수 =m개
두 번째 애가 "... :m-1개
...n번째 애가 :m-n+1개

혹은 겹치는 게 있으면 아래와 같다.

겹치는 게 있는 경우엔 아래와 같이 수행을 해야한다.
예시를 보자.

첫 비트 시작이 1이고, 끝 비트 2개가 00으로 끝나는 8비트 숫자가 나올 수 있는 경우를 계산해보자면

이거로 생각해보자
앞이 1인 경우 + 가장 뒤 2개가 0인 경우 - 앞이 1이고, 끝이 00인 경우
= 2^7 + 2^6 - 2^5
비둘기집 이론
넣어야 할 요소의 개수 > 넣을 수 있는 통의 개수
이면, 하나의 통에는 2개 요소가 이상이 들어가있다.
당연한 거 아님?ㅋㅋ


K+1 개에서 K로 보낸다.
쏘는 건 무조건 쏴야함.
one to one 가능? X
Permutations (순열)
ex) 5명의 학생 중 3명을 골라 각 자리에 앉혀 사진을 찍게 하는 방법은?
--> 첫 번째 자리에 앉을 수 있는 학생의 경우 = 5
두 번째 자리에 앉을 수 있는 학생의 경우 = 4
세 번째 자리에 앉을 수 있는 학생의 경우 = 3
5x4x3 = 60
주로 순열은 (n,r)로 이루어지고, n개에서 r개를 뽑는 경우를 센다.
공식은 n * n-1 * n-2 * ... * ( n-r +1 )
혹은

salesman visit count
출장을 7도시에 가야한다. 7개의 도시를 도는 순서의 개수는?
P(7,7) = 7! = 7*6*5*4*3*2*1 = 5040
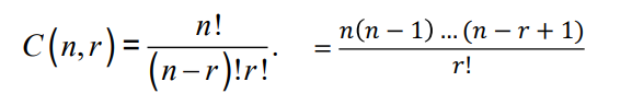
Combinations (조합)
4명 중에 3명을 골라 일을 시키는 경우의 수는?
4명중에 3명을 구성하면 1명은 구성원이 되지 않는다.
각 경우당 1명이니 4명이 돌아가면서 되지 않는 걸 생각하면
4.
조합으로 풀면 C(4,1) = C(4,3)

분자는 순열로 뽑고, 분모는 뽑은 개수로


증명
포커 카드 52장에서 5장을 고르는 경우의 수
C(52,5) = 52! / 5! 47! = 52*51*50*49*48 / 5*4*3*2*1
* C(n, r) = C(n, n−r)

(x+y)^n일 때, 각 항의 계수 구하는 법임
x랑 y의 계수가 1이 아니라 a 와 b라면
k번째 항의 계수는
n C k * a^k * b^n-k 이다.


이렇게 푸는 법도 알아두면 쓸모있을 듯


이런 것도 알아는 두자~
파스칼 정의

(n+1) C k = nC(k-1) + nC

* 제곱을 할 때 각 항의 계수들도 이와 같다.


슬라이드 안 주신 거 보니 그리 안 중요한 듯
(출처)
한동대학교 최희열교수님 - 이산수학
'2학년 2학기 > 이산수학' 카테고리의 다른 글
| [ 이산 수학 ] 12. 조건부 확률 2 (0) | 2023.10.30 |
|---|---|
| [ 이산 수학 ] 11. 확률 (0) | 2023.10.26 |
| [ 이산 수학 ] 9. 재귀함수 / tree (0) | 2023.10.05 |
| [ 이산 수학 ] 8. 수학적 귀납 (0) | 2023.09.26 |
| [ 이산 수학 ] 7. Cardinality , 행렬 (1) | 2023.09.18 |